2021年5卷2期
2021, 5(2): 139-165.
doi: 10.1093/ce/zkaa029
摘要:
为模拟和研究颗粒流动和传热现象,本文基于离散单元法(discrete element method, DEM)设计和开发了一套模拟算法,该算法的计算结果得到了试验结果的验证,并通过该算法校验了煤和石英砂这两种非规则形状颗粒的颗粒力学参数。本文不仅给出了合理的基本假设,而且尽可能详细地描述了整套DEM算法的内部构造,包括碰撞颗粒的状态分析算法、颗粒的运动学离散算法和一种高效的碰撞颗粒搜索算法。该算法模拟了球形玻璃珠在料仓中的卸料过程和金属球形颗粒在水平转动加热炉中的加热过程,通过试验结果分别验证了颗粒的力学模型和传热模型以及整个算法的合理性和正确性。此外,针对在煤化工中常用的非规则形状的煤颗粒和石英砂颗粒的颗粒力学参数进行了校验,为后续的煤炭转化过程模拟和研究提供严格的理论计算基础。
为模拟和研究颗粒流动和传热现象,本文基于离散单元法(discrete element method, DEM)设计和开发了一套模拟算法,该算法的计算结果得到了试验结果的验证,并通过该算法校验了煤和石英砂这两种非规则形状颗粒的颗粒力学参数。本文不仅给出了合理的基本假设,而且尽可能详细地描述了整套DEM算法的内部构造,包括碰撞颗粒的状态分析算法、颗粒的运动学离散算法和一种高效的碰撞颗粒搜索算法。该算法模拟了球形玻璃珠在料仓中的卸料过程和金属球形颗粒在水平转动加热炉中的加热过程,通过试验结果分别验证了颗粒的力学模型和传热模型以及整个算法的合理性和正确性。此外,针对在煤化工中常用的非规则形状的煤颗粒和石英砂颗粒的颗粒力学参数进行了校验,为后续的煤炭转化过程模拟和研究提供严格的理论计算基础。
2021, 5(2): 166-177.
doi: 10.1093/ce/zkaa032
摘要:
本研究采用离散单元法(DEM)模拟了下行床反应器挡板内构件对煤快速热解过程颗粒混合与传热的影响,并对下行床煤快速热解反应器挡板内构件的结构设计进行了优化。下行床反应器底部出口的煤热解终端温度不仅受入口处煤和热载体石英砂的给料比影响,而且也受下行床反应器内部挡板内构件的结构设计影响。挡板内构件的增设加强了煤和热载体石英砂的混合程度,并延迟了二者在下行床反应器内部的平均停留时间。本研究借助所开发的DEM算法软件包,优化了下行床反应器挡板内构件的长度、安装角度和最少安装数量。优化后的挡板内构件结构更有利于下行床反应器煤快速热解过程中的颗粒混合与传热,从而更好地满足煤热解工艺条件要求。
本研究采用离散单元法(DEM)模拟了下行床反应器挡板内构件对煤快速热解过程颗粒混合与传热的影响,并对下行床煤快速热解反应器挡板内构件的结构设计进行了优化。下行床反应器底部出口的煤热解终端温度不仅受入口处煤和热载体石英砂的给料比影响,而且也受下行床反应器内部挡板内构件的结构设计影响。挡板内构件的增设加强了煤和热载体石英砂的混合程度,并延迟了二者在下行床反应器内部的平均停留时间。本研究借助所开发的DEM算法软件包,优化了下行床反应器挡板内构件的长度、安装角度和最少安装数量。优化后的挡板内构件结构更有利于下行床反应器煤快速热解过程中的颗粒混合与传热,从而更好地满足煤热解工艺条件要求。
2021, 5(2): 178-184.
doi: 10.1093/ce/zkab002
摘要:
据预计,“绿色”氢将在交通运输领域的脱碳过程中发挥重要作用。与其他储氢技术的发展相比,在中性CO2合成液体燃料实现化学储氢方面具有安全性和可靠性优势,并因此成为了电动交通和氢能交通的一项重要补充,以实现交通运输行业的低碳化转型。鉴于交通运输行业在可预见的未来还无法实现对液体燃料的替代,发展液体燃料中的化学储氢技术具有非常重要的意义。本文从原料潜力、产品潜力、对可再生电力的需求和相关成本、效率以及预期的市场接收度等方面出发,明确了在中性CO2合成液体燃料中实现化学储氢的3条替代性技术路线,并对它们开展了比较评价。虽然这3条路线的整体效率水平相似,但德国目前以电力为基础的液体燃料生产正受到高成本和可再生电力供应的限制。相比之下,以生物废弃物为原料生产的液体燃料拥有生物原料的稳定供应,并能在很大程度上不受可再生电力供应及成本的制约。
据预计,“绿色”氢将在交通运输领域的脱碳过程中发挥重要作用。与其他储氢技术的发展相比,在中性CO2合成液体燃料实现化学储氢方面具有安全性和可靠性优势,并因此成为了电动交通和氢能交通的一项重要补充,以实现交通运输行业的低碳化转型。鉴于交通运输行业在可预见的未来还无法实现对液体燃料的替代,发展液体燃料中的化学储氢技术具有非常重要的意义。本文从原料潜力、产品潜力、对可再生电力的需求和相关成本、效率以及预期的市场接收度等方面出发,明确了在中性CO2合成液体燃料中实现化学储氢的3条替代性技术路线,并对它们开展了比较评价。虽然这3条路线的整体效率水平相似,但德国目前以电力为基础的液体燃料生产正受到高成本和可再生电力供应的限制。相比之下,以生物废弃物为原料生产的液体燃料拥有生物原料的稳定供应,并能在很大程度上不受可再生电力供应及成本的制约。
2021, 5(2): 185-193.
doi: 10.1093/ce/zkab003
摘要:
本研究评估了以当地的鱼类废油为原料,通过超临界甲醇酯交换反应(supercritical methanol transesterification,SCMT)制备生物柴油的潜力。使用己烷作为助溶剂,在超临界条件下于连续反应器中进行酯交换反应。采用响应曲面法(response surface methodology,RSM)分析了甲醇与鱼类废油的重量比(W)、反应温度(T)、压力(P)和进料流率(F)4个自变量对超临界甲醇制备生物柴油产量的影响。根据响应曲面法计算得出的最佳操作条件如下:W(甲醇与鱼类废油的重量比)为22.3、T为 270 ℃、P为112.7 bar、F为2.0 mL/min。在最佳条件下,最高产率估计为94.6%(g/g)。实际可获得的产率接近理论产率(95.2%),这表明本文所提出的策略在生物柴油燃料生产中具有广阔的应用前景。
本研究评估了以当地的鱼类废油为原料,通过超临界甲醇酯交换反应(supercritical methanol transesterification,SCMT)制备生物柴油的潜力。使用己烷作为助溶剂,在超临界条件下于连续反应器中进行酯交换反应。采用响应曲面法(response surface methodology,RSM)分析了甲醇与鱼类废油的重量比(W)、反应温度(T)、压力(P)和进料流率(F)4个自变量对超临界甲醇制备生物柴油产量的影响。根据响应曲面法计算得出的最佳操作条件如下:W(甲醇与鱼类废油的重量比)为22.3、T为 270 ℃、P为112.7 bar、F为2.0 mL/min。在最佳条件下,最高产率估计为94.6%(g/g)。实际可获得的产率接近理论产率(95.2%),这表明本文所提出的策略在生物柴油燃料生产中具有广阔的应用前景。
2021, 5(2): 194-203.
doi: 10.1093/ce/zkab004
摘要:
大规模可再生能源的并入需要一个可稳定操作多个分布式逆变器的控制系统。本文提出一个逆变器控制方法,利用同步发电机相应的惯性信息来实现对电池储能系统的协调运行。本文还展示了多个逆变器系统使用该方法后的仿真效果。另外,还仿真了各种故障情况,如线间短路、三相接地故障,并比较了不同特征的两个故障点。使用该方法,当排除故障后,电压、频率及有功功率很快恢复至稳态值。该仿真结果证实了各种故障下该控制方法的稳定操作性。
大规模可再生能源的并入需要一个可稳定操作多个分布式逆变器的控制系统。本文提出一个逆变器控制方法,利用同步发电机相应的惯性信息来实现对电池储能系统的协调运行。本文还展示了多个逆变器系统使用该方法后的仿真效果。另外,还仿真了各种故障情况,如线间短路、三相接地故障,并比较了不同特征的两个故障点。使用该方法,当排除故障后,电压、频率及有功功率很快恢复至稳态值。该仿真结果证实了各种故障下该控制方法的稳定操作性。
2021, 5(2): 204-223.
doi: 10.1093/ce/zkab006
摘要:
漂浮式光伏(floating photovoltaic,FPV)系统是全球范围内新兴的可再生能源生产技术,在产生电力的同时,可通过有效减少水分蒸发来平衡水资源需求。本文构建了印度水库的一个FPV发电厂模型,并就其性能展开了分析。测试案例梅图尔大坝位于印度的泰米尔纳德邦,其有一座150 MW的水力发电站。基于关键设计元素及其对印度水库适用性的详细研究,对FPV发电厂进行了初始设计。为评估其发电潜力,本文对拟建发电站的各种倾角、安装系统及跟踪机制进行了数值分析。研究发现,横向水平安装的支架系统表现出高性能比,而面板固定倾斜10°与单轴跟踪的FPV发电系统较适用于梅图尔大坝。此外,本文还进行了FPV发电系统的成本分析及碳足迹评估,以确定该系统的经济环境效益。研究结果表明,单轴跟踪的FPV发电系统共可减少135 918.87 t二氧化碳排放量,比倾斜10°固定安装的FPV发电系统高出12.5%。
漂浮式光伏(floating photovoltaic,FPV)系统是全球范围内新兴的可再生能源生产技术,在产生电力的同时,可通过有效减少水分蒸发来平衡水资源需求。本文构建了印度水库的一个FPV发电厂模型,并就其性能展开了分析。测试案例梅图尔大坝位于印度的泰米尔纳德邦,其有一座150 MW的水力发电站。基于关键设计元素及其对印度水库适用性的详细研究,对FPV发电厂进行了初始设计。为评估其发电潜力,本文对拟建发电站的各种倾角、安装系统及跟踪机制进行了数值分析。研究发现,横向水平安装的支架系统表现出高性能比,而面板固定倾斜10°与单轴跟踪的FPV发电系统较适用于梅图尔大坝。此外,本文还进行了FPV发电系统的成本分析及碳足迹评估,以确定该系统的经济环境效益。研究结果表明,单轴跟踪的FPV发电系统共可减少135 918.87 t二氧化碳排放量,比倾斜10°固定安装的FPV发电系统高出12.5%。
2021, 5(2): 224-237.
doi: 10.1093/ce/zkab005
摘要:
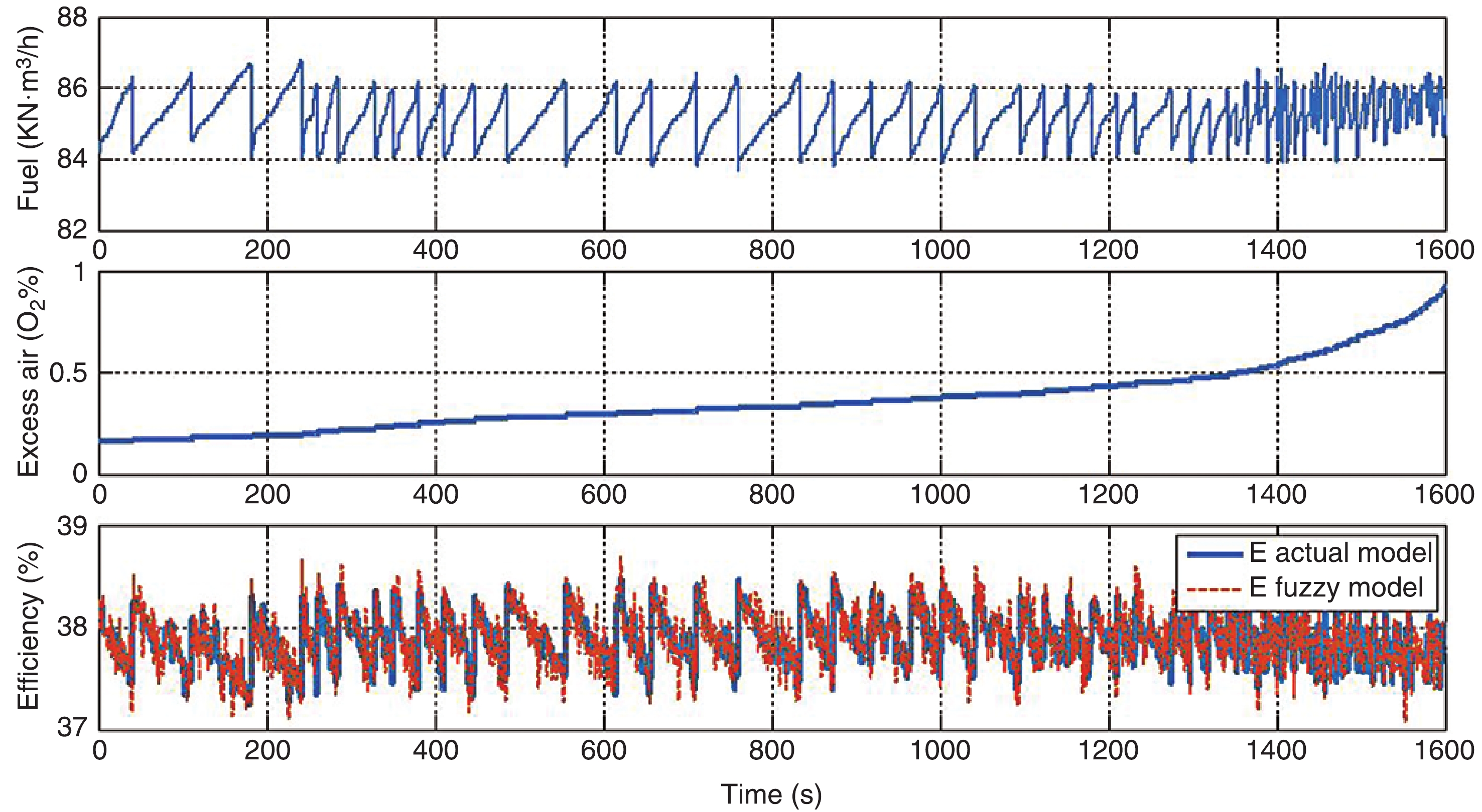
燃料中过量空气的体积是影响锅炉效率及减少有害气体排放的关键因素。本文提出了一种知识建模方法,为伊朗伊斯法罕(Isfahan,Iran)320 MW燃气–蒸汽发电站构建了一个效率模型,该模型用模糊建模方法控制锅炉效率,是基于燃料与空气一起进入锅炉的条件而建立。本文先用经验丰富的操作员所习得的模糊规则来辨识模糊模型结构,再用遗传算法优化该建模方法以提高模糊模型的准确性。结果表明,遗传算法可提高模糊模型的准确度,电站实际效率与模型的输出效率相差甚小。本文建模依据为模糊规则及相关模型算法。最后,本文还设计了一个比例积分模糊控制器来优化锅炉效率。通过所设计的控制器及手动控制的闭环控制仿真,对所提出的方法进行了分析。仿真结果表明,所设计的控制器可精确控制过量空气系数,提高0.70%的设备效率,并显著减少燃料消耗量。
燃料中过量空气的体积是影响锅炉效率及减少有害气体排放的关键因素。本文提出了一种知识建模方法,为伊朗伊斯法罕(Isfahan,Iran)320 MW燃气–蒸汽发电站构建了一个效率模型,该模型用模糊建模方法控制锅炉效率,是基于燃料与空气一起进入锅炉的条件而建立。本文先用经验丰富的操作员所习得的模糊规则来辨识模糊模型结构,再用遗传算法优化该建模方法以提高模糊模型的准确性。结果表明,遗传算法可提高模糊模型的准确度,电站实际效率与模型的输出效率相差甚小。本文建模依据为模糊规则及相关模型算法。最后,本文还设计了一个比例积分模糊控制器来优化锅炉效率。通过所设计的控制器及手动控制的闭环控制仿真,对所提出的方法进行了分析。仿真结果表明,所设计的控制器可精确控制过量空气系数,提高0.70%的设备效率,并显著减少燃料消耗量。
2021, 5(2): 271-285.
doi: 10.1093/ce/zkab009
摘要:
为了通过削减能源消耗和水的使用来将环境影响降至最低,并在较小程度上尽量减少建筑工地对环境的干扰,绿色建筑目前已被广泛应用于商业和住宅部门。本文中,我们开发并讨论了一个100%由独立配置的光伏(photovoltaic,PV)系统供电的绿色商业建筑的技术经济模型。选择德克萨斯州埃尔帕索市(El Paso, TX)的一座中型办公楼,在模型中将其设定为由某一PV系统提供所有需求电力,方式是直接从PV系统获得电力,或者通过使用锂离子电池(Li-ion batteries,LIBs)或可逆燃料电池(reversible fuel cells,RFCs)的储能系统(energy-storage system,ESS)来获得电力。成本分析结果表明,在德克萨斯州埃尔帕索市,一个400 kW的PV系统的发电成本为2.21美分/kWh,使用450 kW容量RFC系统的平均平准化储能成本(levelized cost of energy storage,LCOS)约为31.3 美分/kW·h,而使用小容量LIB ESS的LCOS可低至25.5 美分/kW·h。然而,RFC可灵活地满足建筑的能源需求,而LIB则可能无法满足建筑的能源需求,除非储能规模大幅增加,这反过来会增加储能成本,因此从经济角度来看,LIB不太具有优势。敏感性分析显示,资本成本、折现率和预期系统寿命对两个系统的LCOS的组成起着关键作用。
为了通过削减能源消耗和水的使用来将环境影响降至最低,并在较小程度上尽量减少建筑工地对环境的干扰,绿色建筑目前已被广泛应用于商业和住宅部门。本文中,我们开发并讨论了一个100%由独立配置的光伏(photovoltaic,PV)系统供电的绿色商业建筑的技术经济模型。选择德克萨斯州埃尔帕索市(El Paso, TX)的一座中型办公楼,在模型中将其设定为由某一PV系统提供所有需求电力,方式是直接从PV系统获得电力,或者通过使用锂离子电池(Li-ion batteries,LIBs)或可逆燃料电池(reversible fuel cells,RFCs)的储能系统(energy-storage system,ESS)来获得电力。成本分析结果表明,在德克萨斯州埃尔帕索市,一个400 kW的PV系统的发电成本为2.21美分/kWh,使用450 kW容量RFC系统的平均平准化储能成本(levelized cost of energy storage,LCOS)约为31.3 美分/kW·h,而使用小容量LIB ESS的LCOS可低至25.5 美分/kW·h。然而,RFC可灵活地满足建筑的能源需求,而LIB则可能无法满足建筑的能源需求,除非储能规模大幅增加,这反过来会增加储能成本,因此从经济角度来看,LIB不太具有优势。敏感性分析显示,资本成本、折现率和预期系统寿命对两个系统的LCOS的组成起着关键作用。
2021, 5(2): 286-298.
doi: 10.1093/ce/zkab008
摘要:
印度的太阳能资源丰富,大部分地区年日照时数达3 000 h。目前,作为替代能源的屋顶并网光伏(photovoltaic,PV)系统席卷了印度建筑物,装机容量猛增。本文选定了德里(Delhi)、博帕尔(Bhopal)、乌代布尔(Udaipur)、艾哈迈达巴德(Ahmadabad)、特里凡得琅(Thiruvananthapuram)、浦那(Pune)和马杜(Madurai)等印度城市,分析了在这些不同位置和气候条件下的城市安装太阳能PV电站的可行性,并用PVsyst软件评估了在当地气候条件下安装100 kWp系统的技术可行性。所有测试点的性能比为70%—80%,产能利用系数为19%—21%,预计每年可发电170 MWh。所有位置的光伏系统日发电量为400—500 kW·h,单位成本6—7卢比(印度卢比)。系统服役期约为25—30年,每年约可减少二氧化碳排放150—170 t。该系统的投资回收周期约为5—6年,决定了其具有可行性。这将大大鼓励组织及个人在建筑物屋顶上安装此类光伏电站,利用太阳能来满足国家的能源需求。
印度的太阳能资源丰富,大部分地区年日照时数达3 000 h。目前,作为替代能源的屋顶并网光伏(photovoltaic,PV)系统席卷了印度建筑物,装机容量猛增。本文选定了德里(Delhi)、博帕尔(Bhopal)、乌代布尔(Udaipur)、艾哈迈达巴德(Ahmadabad)、特里凡得琅(Thiruvananthapuram)、浦那(Pune)和马杜(Madurai)等印度城市,分析了在这些不同位置和气候条件下的城市安装太阳能PV电站的可行性,并用PVsyst软件评估了在当地气候条件下安装100 kWp系统的技术可行性。所有测试点的性能比为70%—80%,产能利用系数为19%—21%,预计每年可发电170 MWh。所有位置的光伏系统日发电量为400—500 kW·h,单位成本6—7卢比(印度卢比)。系统服役期约为25—30年,每年约可减少二氧化碳排放150—170 t。该系统的投资回收周期约为5—6年,决定了其具有可行性。这将大大鼓励组织及个人在建筑物屋顶上安装此类光伏电站,利用太阳能来满足国家的能源需求。
2021, 5(2): 315-329.
doi: 10.1093/ce/zkab012
摘要:
对于与可再生能源相关的几个领域而言,对太阳辐射量的预测都具有基础性的作用。目前使用的每日太阳辐射量预测方法有若干种,例如人工智能方法和混合模型方法等。高斯过程回归(Gaussian process regression, GPR)算法近期也已成功应用于遥感和地球科学等领域。本文提出了一种小波耦合的高斯过程回归(wavelet-coupled Gaussian process regression, w-GPR)模型,用于预测阿尔及利亚盖尔达耶(Ghardaia, Algeria)地区的水平面每日太阳辐射量。为了实现这一目标,使用了3年的数据(2013—2015年)对模型开展训练,并且通过2016年的数据对模型进行了验证。在这项研究中,我们根据某个水平表面上的最低气温、相对湿度和大气层外太阳辐射量等数据,对不同类型的母小波和输入数据的不同组合进行了评估。结果表明,相较于经典的GPR模型,这种创新的混合W-GPR模型在均方根误差(root mean square error, RMSE)、相对均方根误差(relative root mean square error, rRMSE)、平均绝对误差(mean absolute error, MAE)和决定系数(R2)方面表现都较为优异。
对于与可再生能源相关的几个领域而言,对太阳辐射量的预测都具有基础性的作用。目前使用的每日太阳辐射量预测方法有若干种,例如人工智能方法和混合模型方法等。高斯过程回归(Gaussian process regression, GPR)算法近期也已成功应用于遥感和地球科学等领域。本文提出了一种小波耦合的高斯过程回归(wavelet-coupled Gaussian process regression, w-GPR)模型,用于预测阿尔及利亚盖尔达耶(Ghardaia, Algeria)地区的水平面每日太阳辐射量。为了实现这一目标,使用了3年的数据(2013—2015年)对模型开展训练,并且通过2016年的数据对模型进行了验证。在这项研究中,我们根据某个水平表面上的最低气温、相对湿度和大气层外太阳辐射量等数据,对不同类型的母小波和输入数据的不同组合进行了评估。结果表明,相较于经典的GPR模型,这种创新的混合W-GPR模型在均方根误差(root mean square error, RMSE)、相对均方根误差(relative root mean square error, rRMSE)、平均绝对误差(mean absolute error, MAE)和决定系数(R2)方面表现都较为优异。
2021, 5(2): 330-339.
doi: 10.1093/ce/zkab013
摘要:
在煤层气中的甲烷提浓过程中,由于CH4和N2的物化性质较为接近,常规的吸附剂很难对两者实现有效分离。为此,本文制备了一系列不同孔隙结构的椰壳基颗粒活性炭,并采用不同的表征手段进行考察,详细分析微孔结构对CH4/N2分离性能的影响。研究表明,所制备的样品GAC-3性能最佳,在298 K下平衡吸附容量达3.28 mol/kg,平衡分离系数达3.95。活性炭上CH4/N2的分离主要受平衡吸附控制,动力学分离效应影响较小。以比表面积为例,常规的活性炭表征指标不足以判断吸附剂分离性能的优劣;通过孔结构分析,发现活性炭的微孔孔径分布在CH4/N2分离过程中起着决定性的作用,对CH4/N2分离起作用的有效孔径为0.4−0.9 nm,0.6−0.7 nm的孔隙对平衡分离系数贡献最大,其次是0.7−0.9 nm孔隙。同时,采用四床真空变压吸附装置对优选活性炭吸附剂的甲烷提浓性能进行试验,并对结果展开了评价。
在煤层气中的甲烷提浓过程中,由于CH4和N2的物化性质较为接近,常规的吸附剂很难对两者实现有效分离。为此,本文制备了一系列不同孔隙结构的椰壳基颗粒活性炭,并采用不同的表征手段进行考察,详细分析微孔结构对CH4/N2分离性能的影响。研究表明,所制备的样品GAC-3性能最佳,在298 K下平衡吸附容量达3.28 mol/kg,平衡分离系数达3.95。活性炭上CH4/N2的分离主要受平衡吸附控制,动力学分离效应影响较小。以比表面积为例,常规的活性炭表征指标不足以判断吸附剂分离性能的优劣;通过孔结构分析,发现活性炭的微孔孔径分布在CH4/N2分离过程中起着决定性的作用,对CH4/N2分离起作用的有效孔径为0.4−0.9 nm,0.6−0.7 nm的孔隙对平衡分离系数贡献最大,其次是0.7−0.9 nm孔隙。同时,采用四床真空变压吸附装置对优选活性炭吸附剂的甲烷提浓性能进行试验,并对结果展开了评价。
2021, 5(2): 356-377.
doi: 10.1093/ce/zkab016
摘要:
层间距较大、结构无序的碳材料被认为适合用于钠离子电池的电极,因其可克服传统电极存在的问题。在本研究中,采用以SnO2和NaVO3修饰的碳量子点(carbon quantum dot,CQD)为电极组装了柔性钠离子电池。以雨树(Samanea saman)的枯叶为原料,经碱性过氧化氢处理和水热炭化制备了CQD。制备的CQD在激发波长为360 nm时的量子产率为21.03%。在柔性钠离子电池中,采用了各种隔膜材料如掺铟氧化锡/聚氧乙烯十三烷基醚(indium-doped tin oxide/polyoxyethylene tridecyl ether,ITO/PTE)、宣纸(rice paper,RP)、三孔硅酮(silicone with three big holes,SIL BH)、多孔硅酮(silicone with many small holes,SIL SH)和纤维素纸(cellulose paper,CP)。由于表面上具有许多小孔,使用SIL SH能获得比使用其他隔膜更高的比容量(881 F g–1)。与SIL BH相比,SIL SH隔膜在1.5和2.5 V下可获得更高的放电容量,分别为141和114 mC g–1。RP隔膜在1 V下的第1次和第50次循环中的放电比容量分别为1087和347 mC g–1。RP隔膜在2 V下具有较高的初始比放电容量,可达到698 mC g–1,且在第50次循环中仍能保持222 mC g–1的放电容量。与RP隔膜相比,虽然SIL SH在2 V下的第1次循环中可提供4246 mC g–1的高放电容量,但在第50次循环中仅能保持71 mC g–1的容量。这项研究揭示了利用雨树叶中的碳质材料开发高容量、可循环的柔性钠离子电池的可能性。
层间距较大、结构无序的碳材料被认为适合用于钠离子电池的电极,因其可克服传统电极存在的问题。在本研究中,采用以SnO2和NaVO3修饰的碳量子点(carbon quantum dot,CQD)为电极组装了柔性钠离子电池。以雨树(Samanea saman)的枯叶为原料,经碱性过氧化氢处理和水热炭化制备了CQD。制备的CQD在激发波长为360 nm时的量子产率为21.03%。在柔性钠离子电池中,采用了各种隔膜材料如掺铟氧化锡/聚氧乙烯十三烷基醚(indium-doped tin oxide/polyoxyethylene tridecyl ether,ITO/PTE)、宣纸(rice paper,RP)、三孔硅酮(silicone with three big holes,SIL BH)、多孔硅酮(silicone with many small holes,SIL SH)和纤维素纸(cellulose paper,CP)。由于表面上具有许多小孔,使用SIL SH能获得比使用其他隔膜更高的比容量(881 F g–1)。与SIL BH相比,SIL SH隔膜在1.5和2.5 V下可获得更高的放电容量,分别为141和114 mC g–1。RP隔膜在1 V下的第1次和第50次循环中的放电比容量分别为1087和347 mC g–1。RP隔膜在2 V下具有较高的初始比放电容量,可达到698 mC g–1,且在第50次循环中仍能保持222 mC g–1的放电容量。与RP隔膜相比,虽然SIL SH在2 V下的第1次循环中可提供4246 mC g–1的高放电容量,但在第50次循环中仅能保持71 mC g–1的容量。这项研究揭示了利用雨树叶中的碳质材料开发高容量、可循环的柔性钠离子电池的可能性。
2021, 5(2): 378-389.
doi: 10.1093/ce/zkab020
摘要:
第二代生物乙醇制备方法可解决第一代生物乙醇制备方法所出现的种种问题,但是第二代原料勘察仍为一大难题,特别是在诸如印度尼西亚的热带国家。从异域水果的副产品来看,榴莲的发展前景可观,原因在于该水果物产丰富,富含碳水化合物,迄今为止利用有限。该研究首次提出在优化条件下利用榴莲籽碱法水解制糖工艺。经调整底物负荷、氢氧化钠浓度、水解时间及水解温度等四大参数即可得到简单形式的糖。该研究用基于Box-Behnken设计的响应面法来概述最佳参数值。方差分析结果表明,二次模型拟合良好,四大参数的重要性顺序为底物负荷>水解时间>氢氧化钠浓度>水解温度。在优化条件下,还原糖得率达2.140 g/L,底物负荷低于50 g/L,氢氧化钠浓度为0.522 M,水解时间为60分钟,水解温度为80 ℃。在优化条件下,乙醇含量有望达到1.094 g/L,这表明第二代生物乙醇制备方法的潜力无穷。
第二代生物乙醇制备方法可解决第一代生物乙醇制备方法所出现的种种问题,但是第二代原料勘察仍为一大难题,特别是在诸如印度尼西亚的热带国家。从异域水果的副产品来看,榴莲的发展前景可观,原因在于该水果物产丰富,富含碳水化合物,迄今为止利用有限。该研究首次提出在优化条件下利用榴莲籽碱法水解制糖工艺。经调整底物负荷、氢氧化钠浓度、水解时间及水解温度等四大参数即可得到简单形式的糖。该研究用基于Box-Behnken设计的响应面法来概述最佳参数值。方差分析结果表明,二次模型拟合良好,四大参数的重要性顺序为底物负荷>水解时间>氢氧化钠浓度>水解温度。在优化条件下,还原糖得率达2.140 g/L,底物负荷低于50 g/L,氢氧化钠浓度为0.522 M,水解时间为60分钟,水解温度为80 ℃。在优化条件下,乙醇含量有望达到1.094 g/L,这表明第二代生物乙醇制备方法的潜力无穷。
2021, 5(2): 238-249.
doi: 10.1093/ce/zkab011
摘要:
全球的能源体系正在经历彻底的变革过程。由于便宜的价格,太阳能光伏和风能现已占据全球新增净发电量的3/4。包括交通运输、供暖和工业生产在内的能源服务的“深度可再生电气化”可能使太阳能和风能在未来几十年内(在很大程度上)淘汰化石燃料。本文论证了尼泊尔能在21世纪实现能源的自给自足。尼泊尔拥有丰富的太阳能和一定的水力发电储量,但风能和化石能源的资源量却可忽略不计。太阳能储量大约是实现 100% 太阳能体系所需量的 100 倍;在这样的太阳能体系中,每一位尼泊尔公民都能享有与发达国家接近的人均能源消耗量——在这一过程中无需使用化石燃料,也不会因需在尼泊尔境内的喜马拉雅山脉河流上筑坝而导致环境退化。尼泊尔具有巨大的低成本河流外抽水蓄能潜力,因而无需进行河流内的抽水蓄能,同时也能减少对大规模电池储能的需求。在抽水蓄能和电池储能的支持下,太阳能很可能成为实现尼泊尔“可再生能源电气化”以及促进该国能源体系快速成长的主要途径。
全球的能源体系正在经历彻底的变革过程。由于便宜的价格,太阳能光伏和风能现已占据全球新增净发电量的3/4。包括交通运输、供暖和工业生产在内的能源服务的“深度可再生电气化”可能使太阳能和风能在未来几十年内(在很大程度上)淘汰化石燃料。本文论证了尼泊尔能在21世纪实现能源的自给自足。尼泊尔拥有丰富的太阳能和一定的水力发电储量,但风能和化石能源的资源量却可忽略不计。太阳能储量大约是实现 100% 太阳能体系所需量的 100 倍;在这样的太阳能体系中,每一位尼泊尔公民都能享有与发达国家接近的人均能源消耗量——在这一过程中无需使用化石燃料,也不会因需在尼泊尔境内的喜马拉雅山脉河流上筑坝而导致环境退化。尼泊尔具有巨大的低成本河流外抽水蓄能潜力,因而无需进行河流内的抽水蓄能,同时也能减少对大规模电池储能的需求。在抽水蓄能和电池储能的支持下,太阳能很可能成为实现尼泊尔“可再生能源电气化”以及促进该国能源体系快速成长的主要途径。
2021, 5(2): 250-270.
doi: 10.1093/ce/zkab007
摘要:
印度政府于2018年批准在泰米尔纳德邦马杜赖市(Madurai,Tamil Nadu)的Thoppur地区建立一家新的全印度医学科学研究所(New All India Institute of Medical Sciences,AIIMS)。医疗设施是持续提供初级医疗和急救响应最重要的硬件设施;而对于医疗设施来说,安全的电力供应已成为当务之急。鉴于此,为了解决这家新AIIMS的电力供应问题,本文提出了一种与公用电网组合的微电网方案。该微电网包括一套4 MW的光伏系统、一套1.8 MW的风力发电能量转换系统、能满足预计最大需求电量的备用柴油发电机以及一套1 MW的电池储能系统。在整合公用电网后,该AIIMS微电网将可以提供20 MVA的电力。一旦本文提出的微电网得以实现,将首先在印度的医疗设施中使用,以确保电力服务的可及性。若该微电网方案投入使用,其投资回报率为9.8%,内部收益率为13.6%,投资回报期为6.75年,同时其能实现的平准化能源(发电)成本(attractive levelized cost of energy,LCOE)也很有吸引力,为0.07547美元/(kW·h)。与完全由公用电网提供电力的方案相比,该方案每年可减排6 261 132 kg二氧化碳、27 362 kg二氧化硫以及12 838 kg氮氧化物,因而对环境也较为友好。
印度政府于2018年批准在泰米尔纳德邦马杜赖市(Madurai,Tamil Nadu)的Thoppur地区建立一家新的全印度医学科学研究所(New All India Institute of Medical Sciences,AIIMS)。医疗设施是持续提供初级医疗和急救响应最重要的硬件设施;而对于医疗设施来说,安全的电力供应已成为当务之急。鉴于此,为了解决这家新AIIMS的电力供应问题,本文提出了一种与公用电网组合的微电网方案。该微电网包括一套4 MW的光伏系统、一套1.8 MW的风力发电能量转换系统、能满足预计最大需求电量的备用柴油发电机以及一套1 MW的电池储能系统。在整合公用电网后,该AIIMS微电网将可以提供20 MVA的电力。一旦本文提出的微电网得以实现,将首先在印度的医疗设施中使用,以确保电力服务的可及性。若该微电网方案投入使用,其投资回报率为9.8%,内部收益率为13.6%,投资回报期为6.75年,同时其能实现的平准化能源(发电)成本(attractive levelized cost of energy,LCOE)也很有吸引力,为0.07547美元/(kW·h)。与完全由公用电网提供电力的方案相比,该方案每年可减排6 261 132 kg二氧化碳、27 362 kg二氧化硫以及12 838 kg氮氧化物,因而对环境也较为友好。
2021, 5(2): 299-314.
doi: 10.1093/ce/zkab010
摘要:
智能电网的部署能减少传统发电厂带来的有害影响,而使用去中心化分布的清洁能源则已成为智能电网的一项基本需求。采用合适定容流程以及适当能耗管理方案的智能住宅可以分担整个电网的用电需求,甚至能够向公用电网出售清洁能源发出的电力。近期提出的智能住宅概念被视为应对传统电力系统问题(例如热电厂的废气排放和大型电厂/输电故障带来的停电风险)的一种替代性解决方案。通过合适的能耗管理方案,智能住宅能在电器、电力来源和储能等方面实现与业主需求的相互协调。能耗管理系统是优化住宅功能与负荷运行的关键,可以在最大程度提升住宅经济效益的同时维持舒适的居住品质。智能住宅中发电源的间歇不确定性可能严重影响整个电网的性能。随着建立在智能电网基础之上的智能住宅逐渐普及,在发电与用电负荷方面将产生新的、不同寻常的场景。本文明确了智能住宅的主要特点和要求。本文的另一个目标是阐述近期提出的智能住宅能耗管理方案。此外,还探讨了智能住宅大规模普及后智能电网面临的挑战。
智能电网的部署能减少传统发电厂带来的有害影响,而使用去中心化分布的清洁能源则已成为智能电网的一项基本需求。采用合适定容流程以及适当能耗管理方案的智能住宅可以分担整个电网的用电需求,甚至能够向公用电网出售清洁能源发出的电力。近期提出的智能住宅概念被视为应对传统电力系统问题(例如热电厂的废气排放和大型电厂/输电故障带来的停电风险)的一种替代性解决方案。通过合适的能耗管理方案,智能住宅能在电器、电力来源和储能等方面实现与业主需求的相互协调。能耗管理系统是优化住宅功能与负荷运行的关键,可以在最大程度提升住宅经济效益的同时维持舒适的居住品质。智能住宅中发电源的间歇不确定性可能严重影响整个电网的性能。随着建立在智能电网基础之上的智能住宅逐渐普及,在发电与用电负荷方面将产生新的、不同寻常的场景。本文明确了智能住宅的主要特点和要求。本文的另一个目标是阐述近期提出的智能住宅能耗管理方案。此外,还探讨了智能住宅大规模普及后智能电网面临的挑战。




扫一扫,关注我们